最近在做Jenkins的技术调研,目前已经把原有的PHP项目同步Jenkins部署了,对于Jenkins安装这里不做介绍,参考官方文档,非常简单。
说一下实现思路,以PHP项目为例:
过去:
- 主要依赖git进行发布,部署需要专门人员
- 前端代码源代码以及打包后文件都放在git中
缺点:操作麻烦,容易出错
现在:
- PHP发布不依赖git
- 一键发布,不依赖特定人员
- //todo 前端代码打包,合并将构建发布
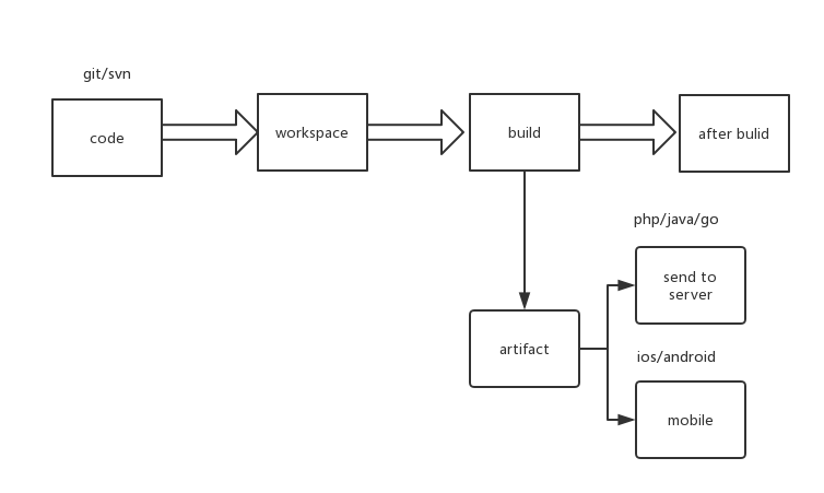
简单画了个流程图:

最近在做Jenkins的技术调研,目前已经把原有的PHP项目同步Jenkins部署了,对于Jenkins安装这里不做介绍,参考官方文档,非常简单。
说一下实现思路,以PHP项目为例:
过去:
缺点:操作麻烦,容易出错
现在:
简单画了个流程图:
